ILP e pipeline: motivazioni per i processori superscalari

Il pipelining è una tecnica relativamente semplice ed estremamente efficace per aumentare le prestazioni dei…

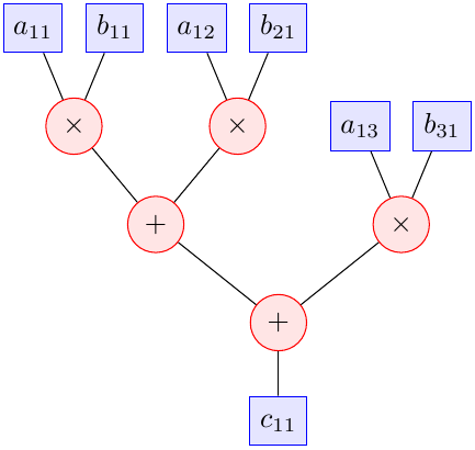
Sfruttare il parallelismo tra le istruzioni: le architetture dataflow

Nei precedenti articoli abbiamo visto come utilizzare una pipeline per aumentare l'efficienza di utilizzo dell'hardware…

Architettura delle CPU: la pipeline rivisitata (seconda parte)

Nel precedente articolo abbiamo visto le basi della tecnica di pipelining. Adesso è ora di…

Architettura delle CPU: la pipeline rivisitata (prima parte)

Perchè un ennesimo articolo sulle pipeline? In rete si trova già molto materiale, e anche…

1985: la CPU che doveva “stracciare” il 68000

Come ho ripetuto spesso, sono un grande appassionato della trasmissione televisiva Computer Chronicles, andata in…

Architettura delle CPU: l’arte del compromesso (seconda parte)

Nel precedente articolo abbiamo visto quali sono i requisiti dei diversi segmenti di mercato di…

Architettura delle CPU: l’arte del compromesso (prima parte)

Osservando la crescita esponenziale delle prestazioni dei nostri computer e i benchmark che anno dopo…