

Generalizzando, ad alto livello, cosa succede quando un tag comunica con un reader, possiamo dire che quest’ultimo irradia lo spazio circostante con una campo elettromagnetico vibrante ad una certa frequenza, e tutti i dispositivi tag in risonanza a quella stessa frequenza rispondono rimodulando in ampiezza l’onda in ingresso, permettendo così al ricevitore di tradurre in bits questa differenza nell’ampiezza dell’onda (un po’ come succede nelle trasmissioni radio AM).
La frequenza portante è generalmente di 13,56 Mhz (HF) negli RFID più comunemente utilizzati, soprattutto nelle tecnologie di pagamento di prossimità, mentre nella banda che va dai 125 Khz ai 134,2 Khz (LF) trovano spazio i tag dell’anti-taccheggio, dei badge aziendali, del riconoscimento di oggetti od animali e della logistica. Ogni onda elettromagnetica possiede alcune proprietà fondamentali tra le quali, per citare quelle a noi di maggiore interesse, la frequenza (o periodo) e l’ampiezza. La prima è il numero di oscillazioni per unità di tempo che essa compie nella direzione di propagazione, mentre la seconda esprime la variazione di grandezza dell’oscillazione (in parole povere, quanto è alto un picco od un ventre):
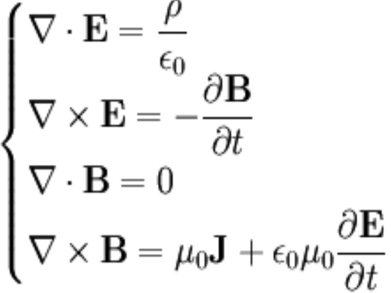
Con l’intento di farvi capire piuttosto che darvi solo un elenco di equazioni, vi propongo un immagine che più di mille parole vi metterà a conoscenza di cosa succede al tag ed al reader durante una comunicazione:
Il primo grafo rappresenta un onda (modulatore) che codifica un segnale, ad esempio la nostra sequenza di bits che identifica la stringa contenuta nella memoria del tag, che contiene l’informazione da trasmettere e che possiede una certa frequenza ed una certa ampiezza. Il secondo grafo è l’onda portante, ossia quella famosa onda, ad esempio di 13,56 Mhz, che tanto abbiamo tirato in ballo finora e che costituisce il mezzo di trasporto dell’informazione. L’ultimo grafo è il risultato del processo di modulazione, ossia un’onda che ha la frequenza della portante ma un’ampiezza che varia in base all’onda modulatrice e quindi al messaggio contenuto.
Ciò che succede è quindi semplice: il reader invia un’onda alla frequenza della portante, il tag la riceve e restituisce qualcosa di simile al terzo grafo, sulla base della sua onda modulatrice del primo grafo, quest’ultima viene quindi ricevuta dal reader che, eseguendo l’operazione inversa effettuata dal tag, separa la portante dall’onda modulatrice, ricavandone la sequenza di 0 ed 1 che compongono il messaggio trasmesso.
Come già accennato quindi, si tratta di una comune trasmissione a modulazione d’ampiezza, simile a quella della cara vecchia radio AM, dove la modulazione del segnale è digitale ed utilizza di norma l’ASK (l’informazione numerica discreta, che descrive il bit o la sequenza di bits, è codificata nella variazione di ampiezza della portante) od il PSK (l’informazione è data dalla variazione di fase nella portante). Il segnale generato è inoltre definito come self-clocking, ossia il tag non necessita di nessuna circuiteria dedicata atta ad effettuare la sincronizzazione di clock, riducendo quindi sia la complessità dello stesso che il fabbisogno energetico complessivo.
Entrando in altri dettagli tecnici, possiamo dire che nei tag passivi viene sfruttato un fenomeno chiamato backscattering, che è di fondamentale importanza nella rimodulazione del segnale del reader. Si parla di scattering quando, a causa del mezzo di propagazione, un’onda perde parte della sua energia perché vi è un’interazione con il mezzo stesso, il che conduce alla generazione di una nuova onda elettromagnetica.
Questo principio è sfruttato proprio dall’antenna del tag che per mezzo della variazione della sua impedenza (ossia la resistenza al passaggio di corrente), riflette parte dell’energia dell’onda (l’altra parte la si utilizza come alimentazione) che risulta quindi rimodulata con le informazioni necessarie, proprio grazie al fatto che essa subisce uno scattering a causa della presenza fisica dell’antenna e delle proprietà del materiale di cui è composta.
Molto interessante è anche la serie di processi fisici che permettono al circuito passivo del tag di ricevere l’alimentazione necessaria al proprio funzionamento, ma per prima cosa è necessario avere chiaro il concetto di campo elettromagnetico e di induzione elettromagnetica. Se infatti fin’ora abbiamo parlato di cosa succede alla nostra onda, dobbiamo chiarire come essa viaggi nell’etere e come essa possa “trasmettere” elettricità a distanza.
Diciamo subito a scanso di equivoci che non esiste alcun etere, concetto che finora ho usato solo per semplicità e che non utilizzeremo più, ma esiste solamente il concetto di campo, nello specifico quello elettromagnetico. Possiamo immaginare un campo elettromagnetico come ad un’area dello spazio quadridimensionale (vedi qui) sulla quale agiscono delle forze, generate dall’unione di un campo elettrico e da uno magnetico.
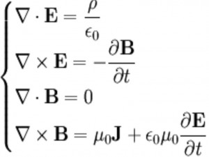
Il primo è generato dalla presenza nello spazio di cariche elettriche stazionarie, ad esempio da un gruppo di elettroni, e qualsiasi particella carica lo attraversi viene interessata da una forza proporzionale all’intensità del campo. Quello magnetico è invece un campo prodotto sempre da particelle cariche ma questa volta in moto, oppure da un campo elettrico che varia in intensità nel tempo. La “somma” di questi due campi dà origine al campo elettromagnetico, la cui dinamica fu formalizzata in un unico di gruppo di equazioni (che potete vedere nell’immagine di apertura articolo) dal fisico scozzese James Clerk Maxwell nel 1873 (prima di allora i due campi, elettrico e magnetico, erano trattati distintamente).
Queste equazioni ci forniscono uno strumento grazie al quale è possibile sapere come varia il campo elettromagnetico nel tempo, sulla base della distribuzione delle cariche, della densità della corrente elettrica, dalle intensità dei campi e dal moto delle particelle. Maxwell scoprì due cose fondamentali dalla teorizzazione del sue famose equazioni: la prima è che la velocità di propagazione del campo è pari a circa 299.792, 458 km/s, velocità che prende comunemente il nome di “velocità della luce” in base al fatto che, essendo il campo elettromagnetico mediato (cioè trasmesso a distanza) dal bosone di spin 1 meglio noto come fotone, ed essendo quest’ultima la particella che trasmette anche la radiazione luminosa, la correlazione con il nome è più che chiara.
Fu proprio da qui che Einstein partì per definire la sua splendida teoria della relatività ristretta, ma questa è un’altra storia. La seconda cosa importante che ricaviamo dalle equazioni di Maxwell, è che il campo elettrico e quello magnetico si propagano perpendicolarmente lungo la direzione di propagazione, quasi come se uno desse una “spinta” all’altro in un loop infinito: il campo elettromagnetico è quindi l’iterazione e l’interazione dovuta alla spinta congiunta di questi due campi.
L’onda che “palleggia” tra reader e tag è quindi semplicemente una perturbazione di questo campo elettromagnetico, che può essere quantificata e quindi tradotta in 0 ed 1. Ma come facciamo invece a ricavare energia? La corrente elettrica è un fenomeno dovuto al moto di particelle cariche da una “zona” di alto potenziale elettrico ad una di basso potenziale (circuito aperto), oppure dal flusso di particelle (solitamente elettroni) che si muovono in un materiale conduttore, movimento che è indotto dalla forza elettromotrice (f.e.m.).
Per “inviare” energia dobbiamo quindi indurre questa forza fem nel circuito elettrico del tag, e qui entra in gioco una legge molto importante, la legge di Faraday. Essa ci dice nella pratica, che è possibile indurre una forza elettromotrice all’interno di un circuito elettrico chiuso semplicemente facendo oscillare, e quindi variare nel tempo, un campo elettromagnetico (all’interno del quale ovviamente deve esserci il circuito!). Il trucco è quindi svelato: il campo elettromagnetico già lo abbiamo (necessario anche per inviare il segnale), il circuito elettrico chiuso nel tag pure, non rimane quindi che far variare con delle onde perturbatrici il campo elettromagnetico e possiamo generare elettricità per alimentare i chip necessari al funzionamento del tag.
L’energia ottenuta è molto piccola, siamo nell’ordine delle centinaia di microwatt, sufficienti però al compito che deve svolgere il tag passivo. Da questi principi fisici, nascono due diversi metodi per ottenere l’energia: l’accoppiamento induttivo e quello elettromagnetico. Per i tag a frequenza medio bassa (LF e HF) si sfrutta la tecnica dell’accoppiamento induttivo, grazie a cui la corrente elettrica generata dal campo magnetico in movimento del reader, viene usata per indurre una corrente anche nel circuito del tag.
Nel secondo caso, usato nelle bande più adatte a lunghe distanze, è invece l’antenna del tag sulla quale viene indotta una corrente elettrica per mezzo di un onda elettromagnetica sempre generata dal reader. Queste due tecniche differiscono quindi nel modo in cui viene indotta l’elettricità (variazione di campo magnetico in un caso, onda elettromagnetica nell’altro), anche in conseguenza delle distanze operative in gioco: il secondo metodo è decisamente più efficace all’aumentare dei metri, mentre il primo è adatto a piccole distanze in quanto l’oscillazione del campo magnetico non è così potente da coprire distanze superiori.
Tutto questo ovviamente è da inserire in un quadro reale, dove la propagazione non avviene nel vuoto e ci sono parecchi oggetti fisici che possono disturbare il segnale. Lo stesso backscattering infatti, dà non pochi problemi al reader in quanto molti oggetti presenti nell’ambiente possono riflettere l’onda originaria su frequenze che possono portare, in taluni casi, anche alla completa cancellazione di quella rimodulata dal tag.
E’ cruciale nei tag passivi ad induzione anche l’orientamento delle antenne, molto sensibili ad allineamenti non perfetti, dove per perfetto si intende antenne parallele tra di loro. Più in generale in un ambiente con molti oggetti e molte persone, la situazione è molto complicata specie se stiamo trattando con dispositivi a medio e lungo raggio, e ci sono numerose tecniche di analisi, che qui non andremo ad approfondire, che tentano di sopperire a questo groviglio di riflessioni, assorbimenti e diffrazioni.
Non solo abbiamo problemi di “falsi” oggetti che disturbano le nostre comunicazioni, ma ci sono situazioni in cui c’è un gran numero di tag che rispondono al reader contemporaneamente! Si parla in questi casi di problemi di collisione, e ci sono diversi algoritmi che permettono al reader di riconoscere simultaneamente e senza grossi problemi una moltitudine di tag per unità di tempo, in una range che va da poche decine anche fino ad oltre mille tag/s.
Tornado sul discorso delle frequenze, i tag RFID si posizionano principalmente in 4 aree dello spettro, che sono:
LF: 125 Khz – 134,2 Khz
HF: 13,56 Mhz
UHF Media: 865 Mhz – 950 Mhz
UHF Alta: 2,4 Ghz – 2,5 Ghz
Le frequenze UHF variano a seconda del paese in cui operano, quindi la loro interoperabilità è bassa, mentre gli HF viaggiano su quella stessa frequenza in tutto il mondo, ragion per cui abbiamo più volte detto che è la banda più sfruttata attualmente. Al crescere della frequenza, cresce anche il transfer rate e la distanza operativa, mentre la tecnologia può essere in tutti i casi sia attiva che passiva, così come il tipo di memoria adottato è indipendente dalla banda di utilizzo.
Cambiano ovviamente gli ambiti operativi soprattutto in funzione della distanza di lettura, della velocità e delle necessità, così come la sensibilità all’ambiente circostante che ovviamente è maggiore ad alte frequenze. Abbiamo anche un impatto sui costi, sulle dimensioni e sui requisiti di assorbimento energetico. Più in generale possiamo dire che per ogni ambito immaginabile esiste un preciso posizionamento della frequenza del tag, del tipo di memoria, della distanza operativa e delle dimensioni, in modo da coprire ogni esigenza possibile.
La nostra panoramica sulla fisica degli RFID termina qui, anche se a dire la verità si potrebbe parlarne per moltissime pagine ancora per descrivere più nel dettaglio alcuni fenomeni, ma così facendo esuleremmo dal nostro scopo principale, ossia quello di comprendere ad un livello di complessità media cosa succede in questi apparecchi. Precisiamo solamente che in taluni casi sono stato volutamente impreciso ed ho tagliato corto: d’altra parte non è lecito aspettarsi un rigore scientifico assoluto nello spiegare in poche pagine una argomento così complesso e vario come la teoria elettromagnetica!
Ora che conosciamo bene in che modo transita il nostro segnale dal tag al reader, siamo pronti ad affrontare le tematiche di sicurezza poiché sono certo che abbiate già in testa su quali punti un potenziale malintenzionato possa far ricadere la sua attenzione, senza contare che è di certo l’argomento che abbiamo più a cuore! In fondo stiamo pur sempre parlando di “messaggi” teoricamente “udibili” da chiunque, un po’ come se urlassimo la nostra password da un capo all’altro dell’ufficio: solo le più avanzate tecniche di cifratura potranno metterci al sicuro da tutta una serie di rischi.
Alla prossima puntata!

